第29回ひろしま県央競歩大会2025

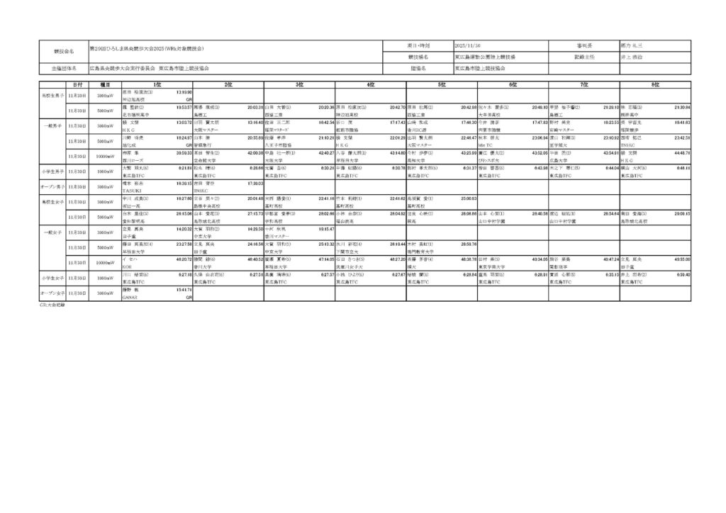
結果発表

















■申込み(エントリー)からの流れ
1 「アスリートランキング」でエントリー
1 「アスリートランキング」でエントリー
・エントリー操作方法は別紙参照
※公式ホームページ、アスリートランキングにも操作方法を添付しています。
※大会要項を確認、同意の上、お申し込みください。
※会場案内図、宿泊先一覧は、大会公式ホームページでご覧いただき、宿泊先は各自で直接ホテル・旅館に申し込んでください。
※申込締め切りは 10 月 31 日(金)23 時 59 分まで。
「大会公式ホームページ」https://hhface.org/hhface/kyoho2025/
「アスリートランキング」https://www.athleteranking.com/
2 参加費を納入
・1種目につき、高校生 2,000 円、一般・学生は 3,000 円になります。※小・中学生は無料。
※11 月 17 日(月)までに指定口座(大会要項に記載しています)へご納入ください。
※期限までに納入の確認が取れない場合は、参加できない場合があります。
3 「アスリートランキング」でスタートリストを確認
・11 月 10 日以降に、「アスリートランキング」にてスタートリストを公表予定です。各自で確認してください。事務局からスタートリスト等を送付することはありません。
4 大会前日(11 月 29 日)
・受付 14:00=17:00
※場所:東広島運動公園陸上競技場 正面玄関ロビー
※受付時にアスリートビブス、参加賞、領収書等を交付します。受付係員に名前及び種目等を申し出てください。なお、受付完了が第1コール完了となります。
※「記録証明書」をご希望の方は、受付時に申し出てください。
・前日練習 14:00~17:00
※陸上競技場トラック、多目的広場周回をご利用ください。
5 大会当日(11 月 30 日)
・受付 7:30~8:30
※場所:東広島運動公園陸上競技場 正面玄関ロビー
※受付時にアスリートビブス、参加賞、領収書等を交付します。受付係員に名前及び種目等を申し出てください。なお、受付完了が第1コール完了となります。
※「記録証明書」をご希望の方は、受付時に申し出てください。
・開会通告 8:45
※大会事務局よりアナウンスします。
・競技開始 9:10~
※各部門 8 位までが表彰対象になりますので、対象者は必ず参加してください。アスリートランキン グで速報が閲覧できますのでご確認ください。表彰は陸上競技場正面玄関前にて、各種目終了後、部門ごとに実施(表彰予定時刻は下記に記載)します。なお、事務局から表彰を告知するアナウンスを2回して表彰対象者が来られなかった場合、来られなくても表彰を開始します。来られなかった表彰対象者の表彰物は表彰物受取ブースに準備しますのでそちらで受け取りをお願いします。
※重複(①3000m→5000m→10000m②3000m→5000m③5000m→10000m)で出場される方は表彰に 出席することが困難な状況が予想されますので、大会受付(前日、当日)にて表彰の出欠を事務局員が聴き取ります。

※出場時のユニフォームについて、ランニングパンツは膝が見えるものを着用してください。
タイツを使用される場合は、足にフィットしたものを着用願います。(ジャージ類、長ズボンは不可)
※荒天等中止の判断をせざるを得なくなった場合は、大会公式ホームページにてお知らせいたします。
6 大会後
・希望者には「記録証明書」を送付します。
・ご不明な点等ございましたら、ひろしま県央競歩大会実行委員会事務局にお問い合わせください。
お問い合わせ先
〒739-2403 東広島市安芸津町風早 3092-1
(公財)東広島市教育文化振興事業団 安芸津B&G海洋センター内
電話(FAX)0846-45-3932 担当:藤原
アスリートランキングによる申し込み方法について



大会要項
会場案内図
宿泊施設について


